365英国上市公司(中国·VIP集团)官方网站-Official website
关于我们
英国上市公司官网365简介
机构设置
公司领导
Introduction
团队队伍
服装设计一系
服装设计二系
服装设计三系
服装工程系
表演系
实验室
人才培养
本科生
研究生
博士生
职工
团队建设
名师名家
精品课程
教学成果
实验室建设
科学研究
科研平台
科研项目
科研成果
员工动态
党建工作
组织机构
组织发展
理论学习
支部风采
工会工作
员工工作
员工组织
校园文化
赛事速递
获奖情况
学工动态
人才招聘
招生信息
就业信息
国际合作
杰出员工
媒体聚焦
时 装 周
下载中心
中 /
EN
Open Menu
关于我们
返回
英国上市公司官网365简介
机构设置
公司领导
Introduction
团队队伍
返回
服装设计一系
服装设计二系
服装设计三系
服装工程系
表演系
实验室
人才培养
返回
本科生
研究生
博士生
职工
团队建设
返回
名师名家
精品课程
教学成果
实验室建设
科学研究
返回
科研平台
科研项目
科研成果
员工动态
党建工作
返回
组织机构
组织发展
理论学习
支部风采
工会工作
员工工作
返回
员工组织
校园文化
赛事速递
获奖情况
学工动态
人才招聘
返回
招生信息
就业信息
其他链接
返回
国际合作
杰出员工
媒体聚焦
时 装 周
下载中心
首页
通知公告
英国上市公司官网365新闻
专业介绍
课程展览
集团官网
信息门户
首页
>>
通知公告
>>
正文
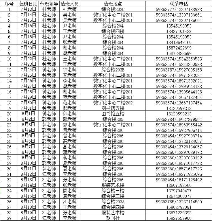
英国上市公司官网3652024年暑假值班安排表
时间:2024-07-05 信息来源:英国上市公司官网365 阅读量:
上一篇:
2024“前锋杯”中国服装创新设计大赛
下一篇:
英国上市公司官网3652024年度桑麻奖学金拟推荐名单公示